Projeto de Laboratório - Cálculo 1
2º semestre de 2003
Prof.: Célius A. Magalhães
Autores:
Felipe Gonçalves Labanca - 03/77627
Vitor Fernandes Ribeiro de Oliveira -03/90631
Lívia Andréia Gomes -03/82841
Clarissa Lima Chagas -03/74997
Construindo um Silo
Projeto de Laboratório - Cálculo 1
Objetivo: Determinar as dimensões de um silo para que, considerando qualquer volume, seu custo seja mínimo.
Introdução: Enfim férias. Para podermos gozar do nosso precioso descanso após um longo semestre de estudos, nosso grupo de recém aprovados em cálculo 1 decide ir a um hotel-fazenda. Após alguns dias de estadia, reparamos que uma construção estava sendo realizada perto à produção de milho da fazenda. Curiosos, fomos descobrir o que era. Após conversarmos com o dono do local (um fazendeiro muito agradável, porém com certa dificuldade com números), ele nos apresentou o projeto. Um silo, desenhado pelo próprio fazendeiro, que decidira comprar o material com o dinheiro reservado para a obra e usar seus funcionários para montá-lo. Percebemos, porém, que o dinheiro a ser gasto estava muito alto para a obra, e decidimos dar uma mãozinha.
![[Maple OLE 2.0 Object]](images/projeto21.gif) 
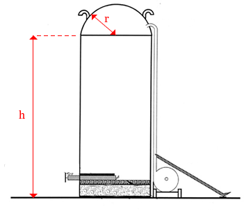
O Problema: Um silo será construído (exceto a base) na forma de um cilindro sob um hemisfério. O custo da construção por unidade de área da superfície é duas vezes maior para o hemisfério em relação ao lado do cilindro. Determinar as dimensões para um volume fixo com custos de produção minimizados. Ignore a espessura das paredes e o desperdício durante a construção.
Iniciando...
[>  restart;
  [>
Preliminares:
Começaremos atribuindo variáveis ao problema. Consideraremos ' r ' como o raio do hemisfério (que coincide com o raio da base do cilindro), ' h ' como a altura do cilindro, ' V ' como o volume total do silo e, por ser considerado como um valor fixo, ' v0' como sendo um valor do volume qualquer para o silo.
É interessante também lembrar as fórmulas volume do cilindro = Pi*r^2*h , area do cilindro = 2*Pi*r*h , volume da esfera = (4/3)*Pi*r^3 e area da esfera = 4*Pi*r^2.
Mãos à obra:
Primeiro devemos definir o volume. Para isso, definiremos primeiro o volume do cilindro (V1) e o volume do hemisfério (V2), e a seguir, definiremos V como sendo a soma dos dois volumes. Nota: volume do hemisferio = (volume da esfera)/2 . [>V1:=Pi*r^2*h; V2:=((4/3)*Pi*r^3)/2; V:=V1+V2;
 
 
 
[>
 Aproveitando os cálculos, definiremos a área 
  da superfície. Analogamente aos cálculos anteriores, A1 será a área do cilindro, 
  A2 a área do hemisfério e  A=A1+A2. 
   Não confunda!  area do hemisferio 
  = (area da esfera)/2 . 
  [> A1:=2*Pi*r*h; A2:=(4*Pi*r^2)/2; A:=A1+A2; 
 
 
 
[>
 Está melhorando! Agora podemos ver qual o custo 
  do material a ser utilizado. Definiremos por  C 
   tal custo. Para defini-lo, decidimos indicar 
  o preço como sendo proporcional às unidades de área medidas. Podemos assim, 
  atribuir o custo da parte cilíndrica do silo como sendo a própria função de 
  sua área. Portanto, C1 (custo da área cilíndrica) será 2*Pi*r*h. Porém, por 
  ser o dobro do preço para ser feita a parte do hemisfério, definiremos o C2 
  (custo da área esférica) como sendo 2 vezes a sua área (. Armazenando os dados 
  obtidos, temos: 
  [> C1:=2*Pi*r*h; 
  C2:=2*(4*Pi*r^2)/2; C:=C1+C2; 
 
 
 
[>
 Resolvendo:  
  após definirmos todas as expressões que nos serão úteis, convém adaptá-las para 
  podermos explorá-las ainda mais. Começaremos usando a expressão do volume para 
  deixar a altura ( h ) 
  em função do raio ( r ). 
  Para tanto, utilizaremos a expressão do volume, isolando o ' h 
  ' - usaremos a função  isolate 
   do maple para isso. Vale lembrar que o volume ( 
  v0 ) é independente e, 
  portanto, usado como um valor constante, que substituirá o valor  V 
   dependente do  r 
   e do  h . 
  
  [> isolate(V=v0,h); 
 
[>
[> h0:=(v0-2/3*Pi*r^3)/Pi/r^2;
 
[>
 Para deixarmos o custo ( C 
  ) em função de apenas uma variável, substituiremos o valor 
  da altura encontrado. Assim, teremos o custo em função 
  apenas do raio. Definiremos assim a função  C(r) 
  : 
  [> C:=r->2/r*(v0-2/3*Pi*r^3)+4*Pi*r^2; 
 
[>
 Está ficando muuuuito interessante... Agora 
  temos o custo em função do raio. Para podermos usufruir da poderosa arma dos 
  máximos e mínimos do cálculo, devemos derivar a função C(r), e definir como 
  dC(r) tal derivada. Vamos lá: 
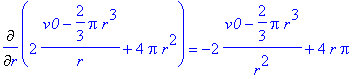
  [> Diff(C(r),r)=diff(C(r),r); 
  
 
  
[> dC:=unapply(diff(C(r),r),r): 'dC(r)'=dC(r);
 
[>
 Oba!!!! Agora, com a derivada podemos calcular 
  os pontos críticos da função C(r). resolvendo a equação dC(r)=0, podemos achá-los. 
  Vamos tentar: 
  [>solve(dC(r)=0,r); 
  
 
  
  [> 
 Definindo o raio como sendo única raíz real 
  obtida acima, temos: 
  [>r:=1/2/Pi*3^(1/3)*(v0*Pi^2)^(1/3); 
 
[>
 Usando o comando  simplify 
   do Maple, podemos simplificar sua definição e torná-la 
  mais agradável. Assim:
  [> simplify(r); 
 
[>
 Yupiiiii!!! Achamos o raio que minimiza os 
  custos da construção. Pronto... agora só falta encontrar a melhor altura do 
  cilindro e pronto. E basta solicitarmos o valor de h0 para acharmos a altura, 
  pois por estar em função de  r , 
  e o raio ter sido definido, a expressão é automaticamente calculada. Usaremos 
  o comando  simplify  
  para adequá-lo ainda mais. 
  [> simplify(h0); 
 
[>
 Resposta:  
  Após concluir todos os nossos cálculos, informamos ao bondoso fazendeiro os 
  valores do raio (da base do cilindro e, portanto, do hemisfério) e a altura 
  do cilindro, ambos citados abaixo.
  [>'r'=simplify(r);
     'h0'=simplify(h0); 
 
 
[>
Com tais dados, o próximo passo é analisar com o fazendeiro a quantidade da produção do milho, e com a taxa de escoamento (saída do milho), determinar o volume necessário de armazenamento e, com tal volume, substituir o v0 na equação da altura e do raio.